
Драйвер для світлодіода 6V 2400мА 22мм
- В наявності
- Код: Д029
277 ₴
+380 (96) 009-15-15
повернення товару протягом 14 днів за домовленістю
У компанії підключені електронні платежі. Тепер ви можете купити будь-який товар не покидаючи сайту.Опис
Характеристики
Інформація для замовлення
Драйвер для світлодіодів Cree xhp.50.2, 50.3 hi, Nichia B35AM
Вхідна напруга 2,5-4,2в
Вихідна напруга 6в
Максимальний струм: 2400мА
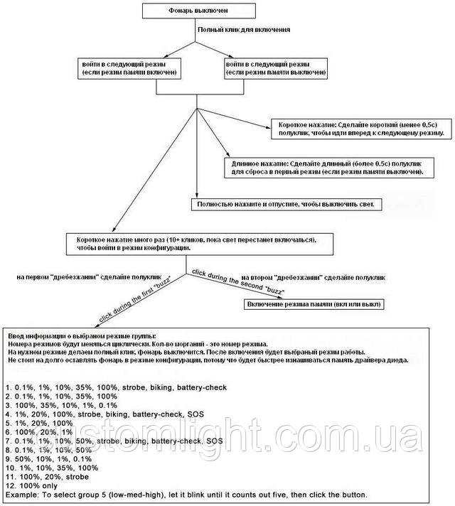
Термоконтроль:
Якщо температура ліхтарика нижче 55 градусів цельсію, він буде видавати повний струм. Якщо вище 55 градусів цельсію, він буде регулювати струм, щоб ліхтарик не перегрівся.

| Основні атрибути | |
|---|---|
| Стан | Новий |
| Користувальницькі характеристики | |
| Наявність | в наявності |
| Гарантія | гарантія від продавця |
| Діаметр | 22мм |
- Ціна: 277 ₴


